ob真人竞猜团队在Kagome超导研究中取得重要进展
发布日期:2022-11-29 供稿:物理学院 摄影:物理学院
编辑:王莉蓉 审核:姜艳 阅读次数:近日,ob真人竞猜物理学院王秩伟特别研究员、姚裕贵教授团队在Nb掺杂笼目结构 (Kagome structure) 超导体CsV3Sb5中取得系列进展。准二维材料AV3Sb5(A="K,Rb,Cs)被发现是Kagome超导体的典型范例,是研究电子相关效应、拓扑性和几何挫折之间相互作用的一个新型量子平台。多种研究手段显示AV3Sb5的超导电性表现出与电荷密度波(CDW)共存的特征,然而超导性和电荷密度波的产生机制仍然存在争议。
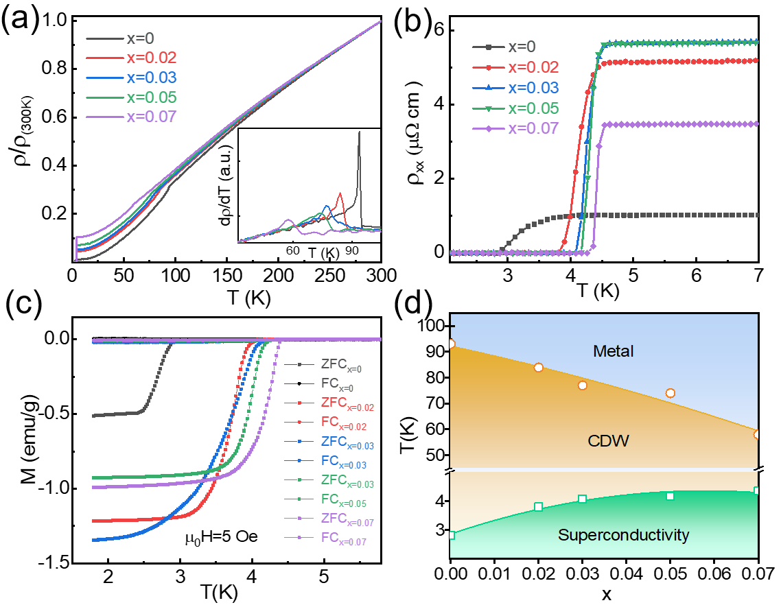
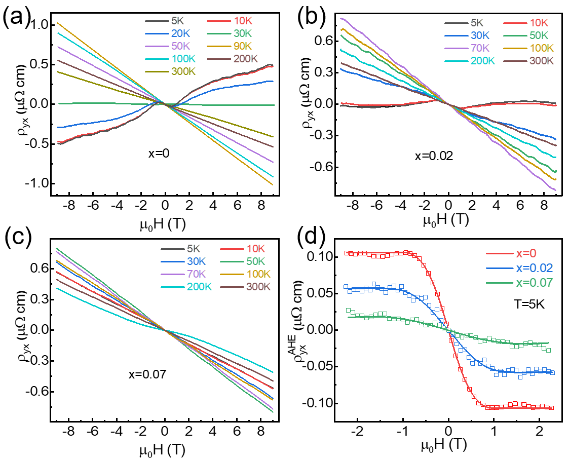
为了探索Kagome超导体CsV3Sb5超导性和电荷密度波的产生机制以及其内在联系,博士生李永恺(现为ob真人竞猜物理学院博士后)在王秩伟研究员的指导下成功地合成了Nb掺杂Cs(V1-xNbx)3Sb5单晶样品,发现这个体系的Nb掺杂极限为7%,通过XRD结构精修证实Nb替代V位,从而对该体系的VSb二维Kagome格子层进行有效调控。进一步系统研究了体系的电荷密度波和超导电性随Nb掺杂量的变化。通过电输运测量发现Nb掺杂可以逐渐抑制电荷密度波同时增强了超导电性,最高超导温度为4.45K,这表明电荷密度波和超导之间存在竞争关系,如图1所示。同时,随着Nb掺杂量的提高,反常霍尔效应与电荷密度波一起显著减弱,这为反常霍尔效应与电荷密度波之间可能存在的密切关系提供了实验证据,如图2所示。

图1. 不同Nb掺杂浓度的Cs(V1-xNbx)3Sb5中的电荷密度波和超导特性

图2. Cs(V1-xNbx)3Sb5中反常霍尔效应随Nb掺杂浓度增加而变弱
为了解释电荷密度波和超导之间的这种竞争关系,我们进行了第一性原理计算,如图3所示:第一性原理计算结果表明Nb的掺杂使得M处的范霍夫奇点发生了变化,Nb掺杂使范霍夫奇点从低于费米能量移动到高于费米能量,使其被填充的能量态密度被耗尽,因而减弱了电荷密度波;同时,Nb的掺杂使得处的电子口袋扩大,这为超导配对提供了更多的电子态密度,因而提高了超导性,我们结果揭示了Cs(V1-xNbx)3Sb5体系中电荷密度波和超导之间不同寻常的竞争。相关工作得到了南京大学闻海虎教授课题组的合作,成果以Letter的形式发表在Physical Review B上 [PRB 105, L180507 (2022)]。

图3. Cs(V1-xNbx)3Sb5(x="0与x=0.07)的电子能带结构理论计算
为了进一步验证我们的理论计算并研究Nb掺杂对CsV3Sb5体系的电子能带结构的影响,研究团队与日本东北大学的T. Sato课题组合作,通过角分辨光电子能谱(ARPES)对Cs(V1-xNbx)3Sb5电子能带结构开展了系统研究。ARPES结果显示,随着Nb元素的掺入,如图4所示,Γ点处的Sb原子衍生的电子口袋(α带)向下移动,而M点处V原子衍生的范霍夫奇点(δ带)向上移动。此外,随着Nb的掺杂,δ带向上移动,导致范霍夫奇点远离费米能级,从而导致电荷密度波转变温度TCDW变低且CDW强度越来越弱,如图4、5所示。该结论表明电荷密度波的产生与范霍夫奇点紧密关联。同时我们还发现,Nb掺杂导致超导转变温度Tc升高的内在物理本质是:Nb掺杂导致Sb衍生的α带的电子口袋扩大和费米面处V衍生的电子态密度恢复共同作用导致超导电性增强。相关工作发表在Physical Review Letters上 [PRL, 129, 206402 (2022)]。

图4. 在120K时Cs(V1-xNbx)3Sb5(x="0与x=0.07)的电子能带结构

图5. Cs(V1-xNbx)3Sb5电子能带结构随温度和Nb掺杂浓度的演化
总而言之,我们通过Nb掺杂调控了Kagome格子超导体CsV3Sb5的能带结构,进而改变其超导电性和电荷密度波相变条件,为揭示CsV3Sb5中超导电性和电荷密度波的起因提供了重要实验证据。
上述工作得到了国家重点研发计划、国家自然科学基金、北京市自然科学基金、ob真人竞猜青年教师学术启动计划等相关项目的支持。
相关文章链接如下:
https://doi.org/10.1103/PhysRevLett.129.206402
https://doi.org/10.1103/PhysRevB.105.L180507
分享到:
