ob真人竞猜教师在解禁闭量子临界研究中取得重要进展
发布日期:2023-05-29 供稿:物理学院 摄影:物理学院
编辑:王莉蓉 审核:陈珂 阅读次数:
近日,ob真人物理学院刘录助理教授与中国人民大学理学院物理学系于伟强课题组和俞榕课题组、美国波士顿大学 Anders W. Sandvik 课题组、中国科学院物理研究所李世亮课题组等合作在《科学》杂志上发表论文“Proximate deconfined quantum critical point in SrCu2(BO3)2”。他们在一种准二维阻挫量子磁性材料中,借助高压、强磁场、极低温的调控和核磁共振谱学测试,发现了一种超越朗道相变理论范式的新型量子相变现象,即解禁闭量子临界,并首次给出了解禁闭量子临界点附近量子临界行为的确凿实验证据。
量子磁性系统中的强量子涨落效应会产生丰富并相互竞争的量子物态。近二十年来,随着高端谱学和量子多体计算技术的发展,对量子磁性材料的研究成为国际上一个非常活跃的前沿领域。
该论文中实验的载体为一种准二维的自旋阻挫磁性材料,即其微观模型中存在近邻和次近邻格点上相互竞争的反铁磁交换作用。理论认为,自旋阻挫体系蕴藏着量子自旋液体、自旋超固态、分数化磁化平台等奇异量子物态,并可能成为量子信息、量子计算和量子传感器的载体。在强磁场、高压等调控下,这些竞争物态之间也可能发生量子相变,即由量子涨落所驱动的基态之间的相变。如果序参量在相变处连续过渡,该相变点称为量子临界点:在临界点附近有限温度的一个扇形区域内,系统某些物理量表现出一系列随调控参量变化的标度行为,涌现出新奇的元激发并表现在系统的动力学行为中。但研究发现,绝大部分相变可以统一于基于自发对称性破缺和重正化群的朗道相变理论框架内。朗道相变理论是现代凝聚态物理学重要的基础理论范式之一。
近年来随着分数量子霍尔效应的实验发现和量子自旋液体概念的提出,物理学家对朗道相变理论是否可以统一描述所有物态间的相变产生了疑问,引起了强关联电子领域众多国际知名专家的关注与研究。其中一个重要问题是在两种自发对称破缺态之间是否有连续的量子相变。以磁驱动的价键固体态和反铁磁态间的相变为例,由于两种态分别自发破缺了晶格平移和自旋旋转两种互不相容的对称性,在朗道相变理论框架下,它们之间只能发生一个不连续的一级相变;然而在本世纪初,一些理论学家提出该相变可能是连续的,即超越朗道理论范式的解禁闭量子临界,在其附近呈现出新奇的解禁闭分数化元激发。这些理论工作为量子相变的研究打开了一个全新的方向,然而尚缺乏实验证据的支持。非常有趣的是,准二维阻挫磁性材料SrCu2(BO3)2(图一a)在压强调控下,基态可能呈现规则的价键固体态,是研究价键固体—反铁磁相变的理想实验平台。
在本工作中,李世亮课题组提供了高质量单晶样品。于伟强教授课题组运用核磁共振谱学测试技术,结合2.4万大气压、50毫开尔文极低温和15特斯拉强磁场的联合调控,在该材料中首次发现了解禁闭量子临界点存在的实验证据。他们首先通过高压核磁共振谱确认了拼板价键固体态,并发现磁场驱动的反铁磁态(图一b)。这是首次在该材料中通过多场调控实现并确认了价键固体-反铁磁的量子相变。

图1 a:SrCu2(BO3)2材料的原子结构;b:2.1万大气压下磁场驱动的价键固体态(PS)——反铁磁态(AFM)的量子相变相图;c:2.4万大气压下核磁共振自旋晶格弛豫率1/T1呈现的量子临界标度行为。
实验发现该相变是一个弱一级相变(图一 b),两边的相变温度表现出和磁场依赖关系的对偶性;其转变温度仅约70毫开尔文,远低于两种态在远离相变点实现有序化的温度,因而接近零温极限下的连续量子相变。他们进一步对系统的元激发性质进行研究,在2.4万大气压的相变点附近观测到了核磁共振自旋晶格弛豫率 1/T1 符合量子临界幂率标度行为(图一c)。临界标度行为的出现,是系统接近量子临界点的又一证据。在通常的反铁磁相中,低能激发为带整数自旋的自旋波,相变点的1/T1 对应的临界幂率指数几乎为零。然而,这里实验测量发现了幂律指数约为0.2,是系统中存在低能分数化自旋激发的重要动力学特征。
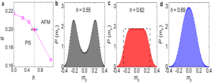
同时,刘录与俞榕课题组、Anders W. Sandvik 课题组通过相关数值模拟和计算,发现在该类相变点附近的价键固体(Z2对称破缺)与反铁磁(U(1)对称破缺)序参量遵循增强的O(3) 旋转对称性(图二a-d)。综上所述,两种相的对偶性和异常低的相变温度、相变点附近的奇异量子临界行为,以及增强的连续旋转对称性清晰表明该相变邻近一个解禁闭量子临界点。
需要说明的是,解禁闭量子临界现象伴随着分数化元激发、演生规范场、增强的连续对称性、贝里相位的连续变化等一系列奇异和相互纠缠的性质,并且与量子自旋液体、高温超导和强关联拓扑物态等有着深刻的联系。本工作为解禁闭量子临界的存在提供了坚实的实验基础,同时为阻挫量子磁性与量子临界的研究注入了新的活力,预期对凝聚态物理新范式的建立起到促进作用。
该研究工作得到了科技部国家重点研发计划、国家自然科学基金、中科院先导专项、ob真人青年研究经费和中国人民大学科研经费等项目的资助。ob真人刘录助理教授为本文的共同第一作者。

图2 a:理论相图;b-d:理论模型中价键固体序参量分别在价键固体态、相变点与反铁磁相中的分布,其中相变点处的平台型分布表明系统存在增强的O(3)对称性
论文信息:Yi Cui#, Lu Liu#, Huihang Lin#, Kai-Hsin Wu, Wenshan Hong, Xuefei Liu, Cong Li, Ze Hu, Ning Xi, Shiliang Li, Rong Yu*, Anders W. Sandvik*, Weiqiang Yu*
“Proximate deconfined quantum critical point in SrCu2(BO3)2”
论文链接:https://www.science.org/doi/10.1126/science.adc9487
分享到:
