ob真人竞猜团队在电动汽车电池回收方面取得研究成果
发布日期:2025-08-12 供稿:经济学院 摄影:经济学院
编辑:许晶 审核:张瑜 阅读次数:
近日,ob真人竞猜王兆华教授团队的研究成果“Lithium-ion battery recycling relieves the threat to material scarcity amid China’s electric vehicle ambitions”以研究长文(Research article)的形式发表于《自然》杂志子刊《自然·通讯》(Nature Communications)。ob真人竞猜张斌教授为第一作者,辛清瑶博士、王兆华教授以及来自新加坡国立大学的Prateek Bansal教授为论文的共同通讯作者。ob真人竞猜为论文第一署名单位。
随着中国“碳中和”目标的推进,电动汽车的快速普及对锂离子电池的需求激增。这引发了对锂离子电池关键材料供应的担忧,其中钴、锂、镍、锰等关键材料的供应短缺可能制约电动汽车的大规模部署。而锂离子电池回收能在一定程度上缓解关键材料的供应短缺问题。如何量化锂离子电池回收对关键材料短缺的缓解潜力,系统评估其在环境效益、空间布局和经济可行性方面的影响,构建最优回收策略,是亟需解决的关键科学问题。
为此,王兆华教授团队通过动态物质流分析(dMFA)、生命周期评估(LCA)和地理空间优化模型,构建了一个综合评价框架,系统量化了电池回收在资源补偿、环境性能、空间配置和经济可行性方面的潜力,为中国碳中和目标下电动汽车发展提供解决方案,破解“无米之炊”困境。
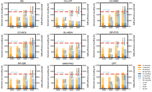
研究发现,满足电动汽车的部署目标将扩大锂离子电池关键材料的供需差距。预计到2060年,对钴和锰的需求将超过2022年生产水平的几十倍甚至上百倍。动力电池回收对缓解关键材料短缺至关重要,要确保到2060年供应稳定,最低回收率需超过80%。进一步研究结果表明,锂离子电池回收环境效益显著且具备经济可行性。在最优情景下,锂离子电池回收可累计减少约1550 Mt CO₂排放,抵消电池制造55%的碳排放,并可以实现超过500亿美元的净收益。

图1 动力电池回收的需求和潜在二次供应模拟
该项研究揭示了动力电池回收经济和环境绩效之间的内在权衡关系,为制定强化供应链韧性的电池回收策略提供了决策依据,有助于我国碳中和背景下汽车电气化进程的有序推进。
该研究工作是国家自然科学基金创新群体项目、国家自然科学基金青年科学基金项目B类(原优青项目)、国家自然科学基金重点专项项目和教育部哲学社会科学重大研究项目等的阶段性工作成果。
原文信息及链接:
Bin Zhang, Qingyao Xin*, Siyuan Chen, Bo Wang, Hao Li, Zhaohua Wang*, Prateek Bansal*. Lithium-ion battery recycling relieves the threat to material scarcity amid China’s electric vehicle ambitions. Nature Communications (2025).
DOI: https://doi.org/10.1038/s41467-025-61481-y
论文链接:https://www.nature.com/articles/s41467-025-61481-y
分享到:
